corr
Descriptionβ
Returns the Pearson correlation coefficient between two expressions. This function is supported from v2.5.10. It can also be used as a window function.
Syntaxβ
CORR(expr1, expr2)
Parametersβ
expr1 and expr2 must evaluate to TINYINT, SMALLINT, INT, BIGINT, LARGEINT, FLOAT, DOUBLE, or DECIMAL.
If expr1 and expr2 are table columns, this function calculates the correlation coefficient of these two columns.
Return valueβ
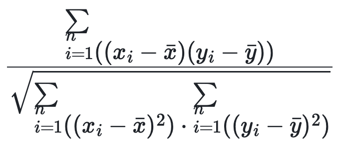
Returns a DOUBLE value. The formula is as follows, where n represents the row count of the table:

Usage notesβ
-
A data row is counted only when the two columns in this row are non-null values. Otherwise, this data row is eliminated from the result.
-
0 is returned if
nis 1. -
NULL is returned in any input is NULL.
Examplesβ
Suppose table agg has the following data:
mysql> select * from agg;
+------+-------+-------+
| no | k | v |
+------+-------+-------+
| 1 | 10.00 | NULL |
| 2 | 10.00 | 11.00 |
| 2 | 20.00 | 22.00 |
| 2 | 25.00 | NULL |
| 2 | 30.00 | 35.00 |
+------+-------+-------+
Calculate the correlation coefficient of the k and v columns:
mysql> select no,CORR(k,v) from agg group by no;
+------+--------------------+
| no | corr(k, v) |
+------+--------------------+
| 1 | NULL |
| 2 | 0.9988445981121532 |
+------+--------------------+