covar_pop
Descriptionβ
Returns the population covariance of two expressions. This function is supported from v2.5.10. It can also be used as a window function.
Syntaxβ
COVAR_POP(expr1, expr2)
Parametersβ
expr1 and expr2 must evaluate to TINYINT, SMALLINT, INT, BIGINT, LARGEINT, FLOAT, DOUBLE, or DECIMAL.
If expr1 and expr2 are table columns, this function calculates the population covariance of these two columns.
Return valueβ
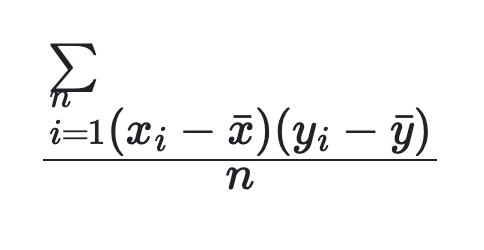
Returns a DOUBLE value. The formula is as follows, where n represents the row count of the table:

Usage notesβ
-
A data row is counted only when the two columns in this row are non-null values. Otherwise, this data row is eliminated from the result.
-
NULL is returned in any input is NULL.
Examplesβ
Suppose table agg has the following data:
mysql> select * from agg;
+------+-------+-------+
| no | k | v |
+------+-------+-------+
| 1 | 10.00 | NULL |
| 2 | 10.00 | 11.00 |
| 2 | 20.00 | 22.00 |
| 2 | 25.00 | NULL |
| 2 | 30.00 | 35.00 |
+------+-------+-------+
Calculate the population covariance of the k and v columns:
mysql> select no,COVAR_POP(k,v) from agg group by no;
+------+-------------------+
| no | covar_pop(k, v) |
+------+-------------------+
| 1 | NULL |
| 2 | 79.99999999999999 |
+------+-------------------+