メインコンテンツまでスキップ
バージョン: 3.1

corr

説明

2つの式間のピアソン相関係数を返します。この関数はバージョン v2.5.10 からサポートされています。ウィンドウ関数としても使用できます。

構文

CORR(expr1, expr2)

パラメータ

expr1expr2 は TINYINT、SMALLINT、INT、BIGINT、LARGEINT、FLOAT、DOUBLE、または DECIMAL に評価される必要があります。

expr1expr2 がテーブルの列である場合、この関数はこれら2つの列の相関係数を計算します。

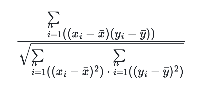
戻り値

DOUBLE 値を返します。式は以下の通りで、n はテーブルの行数を表します。

corr formula

使用上の注意

  • データ行は、この行の2つの列が非NULL値の場合にのみカウントされます。それ以外の場合、このデータ行は結果から除外されます。

  • n が 1 の場合、0 が返されます。

  • 入力が NULL の場合、NULL が返されます。

テーブル agg に次のデータがあるとします。

mysql> select * from agg;
+------+-------+-------+
| no | k | v |
+------+-------+-------+
| 1 | 10.00 | NULL |
| 2 | 10.00 | 11.00 |
| 2 | 20.00 | 22.00 |
| 2 | 25.00 | NULL |
| 2 | 30.00 | 35.00 |
+------+-------+-------+

kv 列の相関係数を計算します。

mysql> select no,CORR(k,v) from agg group by no;
+------+--------------------+
| no | corr(k, v) |
+------+--------------------+
| 1 | NULL |
| 2 | 0.9988445981121532 |
+------+--------------------+
Rocky the happy otterStarRocks Assistant

AI generated answers are based on docs and other sources. Please test answers in non-production environments.