covar_pop
説明
2つの式の母集団共分散を返します。この関数は v2.5.10 からサポートされています。ウィンドウ関数としても使用できます。
構文
COVAR_POP(expr1, expr2)
パラメータ
expr1 と expr2 は TINYINT、SMALLINT、INT、BIGINT、LARGEINT、FLOAT、DOUBLE、または DECIMAL に評価される必要があります。
expr1 と expr2 がテーブルの列である場合、この関数はこれら2つの列の母集団共分散を計算します。
戻り値
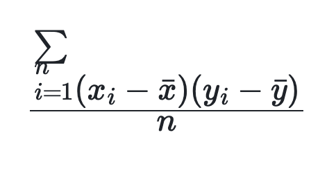
DOUBLE 値を返します。式は以下の通りで、n はテーブルの行数を表します。

使用上の注意
-
データ行は、この行の2つの列が非NULL値である場合にのみカウントされます。それ以外の場合、このデータ行は結果から除外されます。
-
入力がNULLの場合、NULLが返されます。
例
テーブル agg に次のデータがあるとします。
mysql> select * from agg;
+------+-------+-------+
| no | k | v |
+------+-------+-------+
| 1 | 10.00 | NULL |
| 2 | 10.00 | 11.00 |
| 2 | 20.00 | 22.00 |
| 2 | 25.00 | NULL |
| 2 | 30.00 | 35.00 |
+------+-------+-------+
k と v 列の母集団共分散を計算します。
mysql> select no,COVAR_POP(k,v) from agg group by no;
+------+-------------------+
| no | covar_pop(k, v) |
+------+-------------------+
| 1 | NULL |
| 2 | 79.99999999999999 |
+------+-------------------+