covar_pop
功能
返回两个随机变量的总体协方差。该函数从 2.5.10 版本开始支持,也可用作窗口函数。
语法
COVAR_POP(expr1, expr2)
参数说明
expr1: 选取的表达式 1。
expr2: 选取的表达式 2。
当表达式为表中一列时,用于计算两列值之间的总体协方差。支持以下数据类型: TINYINT、SMALLINT、INT、BIGINT、LARGEINT、FLOAT、DOUBLE、DECIMAL。
返回值说明
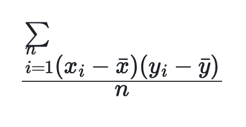
返回值为 DOUBLE 类型。计算公式如下,其中 n 为该表的行数:

使用说明
计算总体协方差时,只有同一行的两列数据都不为 null 时,该行数据才会被统计到最终结果中,否则该行数据会被忽略。
示例
对于以下数据表:
mysql> select * from agg;
+------+-------+-------+
| no | k | v |
+------+-------+-------+
| 1 | 10.00 | NULL |
| 2 | 10.00 | 11.00 |
| 2 | 20.00 | 22.00 |
| 2 | 25.00 | NULL |
| 2 | 30.00 | 35.00 |
+------+-------+-------+
计算列 k 和列 v 的总体协方差:
mysql> select no,COVAR_POP(k,v) from agg group by no;
+------+-------------------+
| no | covar_pop(k, v) |
+------+-------------------+
| 1 | NULL |
| 2 | 79.99999999999999 |
+------+-------------------+