covar_samp
功能
返回两个随机变量的样本协方差。该函数从 2.5.10 版本开始支 持,也可用作窗口函数。
语法
COVAR_SAMP(expr1, expr2)
参数说明
expr1: 选取的表达式 1。
expr2: 选取的表达式 2。
当表达式为表中一列时,用于计算两列值之间的样本协方差。支持以下数据类型: TINYINT、SMALLINT、INT、BIGINT、LARGEINT、FLOAT、DOUBLE、DECIMAL。
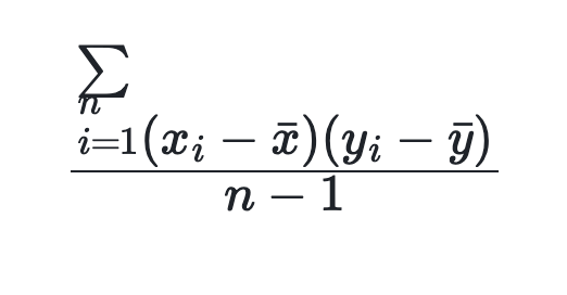
返回值说明
返回值为 DOUBLE 类型。计算公式如下,其中 n 为该表的行数:

使用说明
-
计算样本协方差时,只有同一行的两列数据都不为 null 时,该行数据才会被统计到最终结果中,否则该行数据会被忽略。
-
当
n为 1 时,返回值为 0。
示例
对于以下数据表:
mysql> select * from agg;
+------+-------+-------+
| no | k | v |
+------+-------+-------+
| 1 | 10.00 | NULL |
| 2 | 10.00 | 11.00 |
| 2 | 20.00 | 22.00 |
| 2 | 25.00 | NULL |
| 2 | 30.00 | 35.00 |
+------+-------+-------+
计算列 k 和列 v 的样本协方差:
mysql> select no,COVAR_SAMP(k,v) from agg group by no;
+------+--------------------+
| no | covar_samp(k, v) |
+------+--------------------+
| 1 | NULL |
| 2 | 119.99999999999999 |
+------+--------------------+