stddev_samp
功能
返回 expr 表达式的样本标准差。从 2.5.10 版本开始 ,该函数也可以用作窗口函数。
语法
STDDEV_SAMP(expr)
参数说明
exPr: 被选取的表达式。当表达式为表中一列时,支持以下数据类型: TINYINT、SMALLINT、INT、BIGINT、LARGEINT、FLOAT、DOUBLE、DECIMAL。
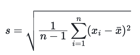
返回值说明
返回值为 DOUBLE 类型。计算公式如下,其中 n 为该表的行数:

示例
MySQL > select stddev_samp(scan_rows)
from log_statis
group by datetime;
+--------------------------+
| stddev_samp(`scan_rows`) |
+--------------------------+
| 2.372044195280762 |
+--------------------------+